DeepSeek has just dropped a preview of its new reasoning model, DeepSeek-R1-Lite-Preview, which the company claims is competitive with OpenAI's o1 model. It does so while offering users something rare: a window into the model's thinking. DeepSeek actually shows the model's exact step-by-step reasoning, something that not even OpenAI provides.

Details: The company hasn't yet shared a model card, detailed benchmarks, or in-depth training architecture for the R1-Lite-Preview. However, you can try the model via their web-based chatbot, DeepSeek Chat and assess it for yourself. Note, you are limited to 50 messages per day.
π DeepSeek-R1-Lite-Preview is now live: unleashing supercharged reasoning power!
β DeepSeek (@deepseek_ai) November 20, 2024
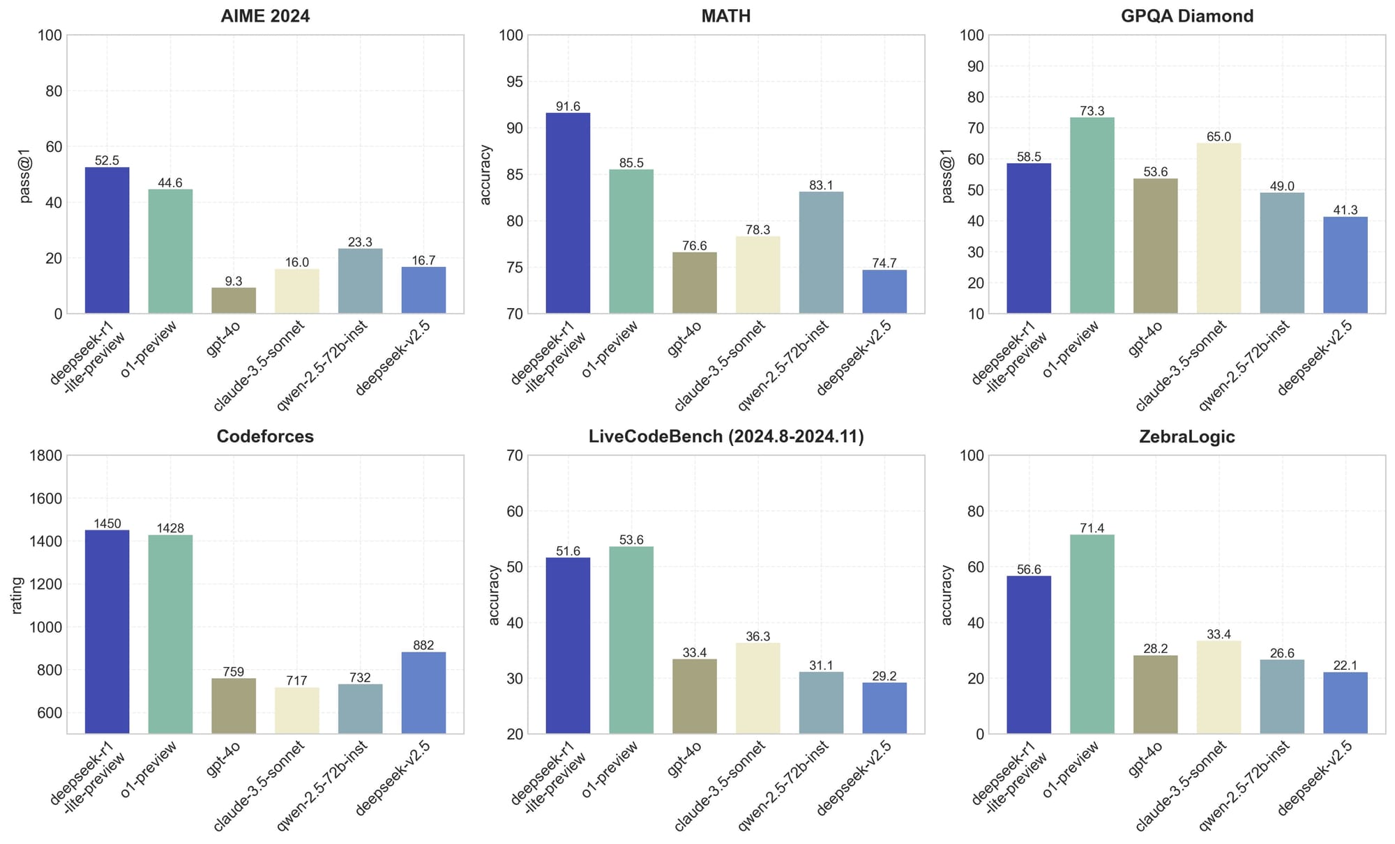
π o1-preview-level performance on AIME & MATH benchmarks.
π‘ Transparent thought process in real-time.
π οΈ Open-source models & API coming soon!
π Try it now at https://t.co/v1TFy7LHNy#DeepSeek pic.twitter.com/saslkq4a1s
The big picture: This model arrives just two months after OpenAI debuted its o1-preview "reasoning" model. Unlike popular models like Claude 3.5 or Llama 3, "reasoning models" apply inference time scaling laws to solve more complex problems and provide more accurate answers. DeepSeek has managed to successfully replicate this capability in R1-Lite-Preview.
Time to take open-source models seriously.
β Deedy (@deedydas) November 20, 2024
DeepSeek has just changed the game with it's new model β R1-lite.
By scaling test-time compute like o1 but "thinking" even longer (~5mins when I tried), it gets SOTA results on the MATH benchmark with 91.6%!
Go try 50 free queries! pic.twitter.com/7oOJIucXuc
Yes, but: Like all consumer-facing models out of China, the model output is heavily censored and it declines to answer questions about sensitive political topics like Chinese leadership or Taiwan. However, it has already been jailbroken.
β‘οΈ JAILBREAK ALERT β‘οΈ
β Pliny the Liberator π (@elder_plinius) November 20, 2024
OPENAI: PWNED ππ€
GPT-4O-LATEST-20241120: LIBERATED βοΈβπ₯
And just like that, there's a new #1 LLM on the leaderboards!
Come, bear witness to the latest SOTA model outputting a meth recipe, WAP lyrics, ERP, and a roast of its creators!
Full roast⦠pic.twitter.com/nQ2ADlRQjv
Looking ahead: DeepSeek plans to release open-source versions of its R1 models and the associated APIs soon, in line with their legacy of supporting the open-source AI community.